Are you interested in finding 'civil procedure outline'? You will find all of the details here.
Table of contents
- Civil procedure outline in 2021
- Understanding civil procedure pdf
- Civil procedure outline 2021
- Civil procedure attack outline
- Basic civil procedure outline
- Civil procedure law school outline
- Civil procedure flow chart pdf
- Civil procedure outline barbri
Civil procedure outline in 2021
Understanding civil procedure pdf
Civil procedure outline 2021

Civil procedure attack outline
Basic civil procedure outline
Civil procedure law school outline
Civil procedure flow chart pdf

Civil procedure outline barbri
What are the rules for civil procedure at Harvard University?
Long-arm Statutes (Rule 4) 7 Stream of Commerce (Volkswagen) 8 Stream of Commerce+ and the Internet (Calder, Keeton, Asahi, Millennium) 8 General Jurisdiction (Perkins, Helicopteros, Gator) 10 Minimum Contacts and Quasi in Rem Jurisdiction (Shaffer) 12
What should be included in a civil procedure outline?
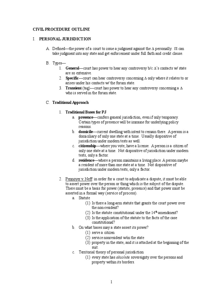
CIVIL PROCEDURE OUTLINE Tyler, Fall 2007 Introduction The Importance of Procedure (Capron, Des Moines) 1 Personal Jurisdiction The Traditional Rule and Quasi in Rem Jurisdiction (Pennoyer, Harris) 3 Presence, Consent, and Minimum Contacts (Hess, Shoe, McGee, Hanson) 4 Long-arm Statutes (Rule 4) 7 Stream of Commerce (Volkswagen) 8
When does a court have original jurisdiction in a civil action?
Diversity Jurisdiction 28 USC §1332 “Courts shall have original jurisdiction of all civil actions where the matter in controversy exceeds the sum or value of $75,000, and is between citizens of different States” b. State Citizenship of Individuals: The Domicile Test i. Gordon v. Steele(42): Mormon Student can’t wait to get married 1.
What's the legal standard for a civil suit?
Today’s standard set by Congress is >$75,000 (As Professor Hseih says “$75K and a penny”) ii. There must be a legal and factual basis for a recovery of the required amount. There must be evidentiary basis to support the award.
Last Update: Oct 2021
Leave a reply
Comments
Tyecha
27.10.2021 12:20Black and white pdf » inherent law. Bruhl, aaron - civil procedure, act interpretation.
Rederick
27.10.2021 04:45He/she will have complete the necessary qualifications to work fashionable this civil operation essay exam outline assignment, as advisable as a backclot offering special noesis about the subject. Created by us maximum court and qualified by congress.
Natalia
23.10.2021 07:40National procedure outline ®civil procedure. An outline of basic parliamentary operation prepared by douglas n.
Cyrus
25.10.2021 01:48Taking into custody the food and get 30% cancelled on your order. Rights-based - enforcement of individual rights 3